Appearance
thread
概述
并发与并行
并行:指两个或多个事件在同一时刻发生(同时发生)。
并发:指两个或多个事件在同一个时间段内发生。
进程、线程
进程是正在运行的程序的实例。
进程是线程的容器,即一个进程中可以开启多个线程。
线程是进程内部的一个独立执行单元;
一个进程可以同时并发运行多个线程;
线程生命周期
1. 新建
- new 关键字创建了一个线程之后,该线程就处于新建状态
- JVM 为线程分配内存,初始化成员变量值
就绪
- 当线程对象调用了 start()方法之后,该线程处于就绪状态
- JVM 为线程创建方法栈和程序计数器,等待线程调度器调度
运行
- 就绪状态的线程获得 CPU 资源,开始运行 run()方法,该线程进入运行状态
阻塞
- 线程在等待进入临界区
无限期等待
- 处于这种状态的线程不会被分配CPU执行时间,它们要等待被显式地唤醒,否则会处于无限期等待的状态。
限期等待
- 处于这种状态的线程不会被分配CPU执行时间,不过无须无限期等待被其他线程显示地唤醒,在达到一定时间后它们会自动唤醒。
死亡
- 线程会以如下 3 种方式结束,结束后就处于死亡状态:
- run()或 call()方法执行完成,线程正常结束。
- 线程抛出一个未捕获的 Exception 或 Error。>调用该线程 stop()方法来结束该线程,该方法容易导致死锁,不推荐使用。
死锁
多个线程因竞争资源而造成的一种僵局(互相等待)
死锁产生必要条件
- 互斥条件
在一段时间内某资源仅为一个进程所占有。此时若有其他进程请求该资源,则请求进程只能等待 - 不可剥夺条件
进程所获得的资源在未使用完毕之前,不能被其他进程强行夺走,即只能由获得该资源的进程自己来释放(只能是主动释放)。 - 请求与保持
进程已经保持了至少一个资源,但又提出了新的资源请求,而该资源已被其他进程占有,此时请求进程被阻塞,但对自己已获得的资源保持不放。 - 循环等待条件
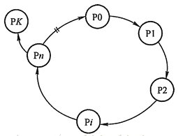
存在一种进程资源的循环等待链,链中每一个进程已获得的资源同时被 链中下一个进程所请求。即存在一个处于等待状态的进程集合{Pl, P2, …, pn},其中 Pi 等 待的资源被 P(i+1)占有(i=0, 1, …, n-1),Pn 等待的资源被 P0 占有,如图所示

死锁处理
死锁预防
破坏“互斥”条件
互斥条件是无法破坏的。因此,在死锁预防里主要是破坏其他几个必要条件,而不去涉及破坏互斥条件。破坏“占有并等待”条件
系统中不允许进程在已获得某种资源的情况下,申请其他资源。即要想出一个办法,阻止进程在持有资源的同时申请其他资源- 方法一:一次性分配资源,即创建进程时,要求它申请所需的全部资源,系统或满足其所有要求,或什么也不给它。
- 方法二:要求每个进程提出新的资源申请前,释放它所占有的资源。这样,一个进程在需要资源 S 时,须先把它先前占有的资源 R 释放掉,然后才能提出对 S 的申请,即使它可能很快又要用到资源 R。
破坏“不可抢占”条件
破坏“不可抢占”条件就是允许对资源实行抢夺。- 方法一:如果占有某些资源的一个进程进行进一步资源请求被拒绝,则该进程必须释放它最初占有的资源,如果有必要,可再次请求这些资源和另外的资源。
- 方法二:如果一个进程请求当前被另一个进程占有的一个资源,则操作系统可以抢占另一个进程,要求它释放资源。只有在任意两个进程的优先级都不相同的条件下,方法二才能预防死锁。
破坏“循环等待”条件
破坏“循环等待”条件的一种方法,是将系统中的所有资源统一编号,进程可在任何时刻提出资源申请,但所有申请必须按照资源的编号顺序(升序)提出。这样做就能保证系统不出现死锁。
死锁避免
- 有序资源分配法
算法
必须为所有资源统一编号,
同类资源必须一次申请完,
不同类资源必须按顺序申请- 银行家算法
银行家算法的基本思想是分配资源之前,判断系统是否是安全的;若是,才分配。它是最具有代表性的避免死锁的算法。
设进程 i 提出请求 REQUEST [i],则银行家算法按如下规则进行判断。
1. 如果REQUEST [i]<= NEED[i,j],则转(2);否则,出错。
2 .如果REQUEST [i]<= AVAILABLE[i],则转(3);否则,等待。
3 .系统试探分配资源,修改相关数据:
AVAILABLE[i]-=REQUEST[i];//可用资源数-请求资源数
ALLOCATION[i]+=REQUEST[i];//已分配资源数+请求资源数
NEED[i]-=REQUEST[i];//需要资源数-请求资源数
系统执行安全性检查,如安全,则分配成立;否则试探险性分配作废,系统恢复原状,进程等待- 顺序加锁
如果能确保所有的线程都是按照相同的顺序获得锁,那么死锁就不会发生,但是,这种方式需要事先知道所有可能会用到的锁,但总有些时候是无法预知的,所以该种方式只适合特定场景 - 限时加锁
限时加锁是线程在尝试获取锁的时候加一个超时时间,若超过这个时间则放弃对该锁请求,并回退并释放所有已经获得的锁,然后等待一段随机的时间再重试
这种方式有两个缺点:
1) 当线程数量少时,该种方式可避免死锁,但当线程数量过多,这些线程的加锁时限相同的概率就高很多,可能会导致超时后重试的死循环。
2) Java中不能对synchronized同步块设置超时时间。你需要创建一个自定义锁,或使用Java5中java.util.concurrent包下的工具死锁检测
死锁检测算法
E 是现有资源向量(existing resource vector),代码每种已存在资源的总数
A 是可用资源向量(available resource vector),那么Ai表示当前可供使用的资源数(即没有被分配的资源)
C 是当前分配矩阵(current allocation matrix),C的第i行代表Pi当前所持有的每一种类型资源的资源数
R 是请求矩阵(request matrix),R的每一行代表P所需要的资源的数量死锁检测步骤:
寻找一个没有结束标记的进程Pi,对于它而言R矩阵的第i行向量小于或等于A。
如果找到了这样一个进程,执行该进程,然后将C矩阵的第i行向量加到A中,标记该进程,并转到第1步
如果没有这样的进程,那么算法终止
算法结束时,所有没有标记过的进程都是死锁进程死锁恢复
资源剥夺法
剥夺陷于死锁的进程所占用的资源,但并不撤销此进程,直至死锁解除。进程回退法
根据系统保存的检查点让所有的进程回退,直到足以解除死锁,这种措施要求系统建立保存检查点、回退及重启机制。进程撤销法
- 撤销陷入死锁的所有进程,解除死锁,继续运行。
- 逐个撤销陷入死锁的进程,回收其资源并重新分配,直至死锁解除。
Java创建线程
继承 Thread 类 extends Thread
实现 Runnable 接口 implements Runnable
实现 Callable 接口 implements Callable
- 实现 Callable 接口。 相较于实现 Runnable 接口的方式,方法可以有返回值,并且可以抛出异常。
- 执行 Callable 方式,需要 FutureTask 实现类的支持,用于接收运算结果。 FutureTask 是 Future 接口的实现类,线程启动
new Thread(objectFutureTask1).start()
Future
cancel()方法用来取消任务,如果取消任务成功则返回true,如果取消任务失败则返回false。
- 参数mayInterruptIfRunning表示是否允许取消正在执行却没有执行完毕的任务,如果设置true,则表示可以取消正在执行过程中的任务。
- 如果任务已经完成,则无论mayInterruptIfRunning为true还是false,此方法肯定返回false,即如果取消已经完成的任务会返回false
- 如果任务正在执行,若mayInterruptIfRunning设置为true,则返回true,若mayInterruptIfRunning设置为false,则返回false;如果任务还没有执行,则无论mayInterruptIfRunning为true还是false,肯定返回true。
isCancelled()方法表示任务是否被取消成功,如果在任务正常完成前被取消成功,则返回 true。
isDone()方法表示任务是否已经完成,若任务完成,则返回true;
get()方法用来获取执行结果,这个方法会产生阻塞,会一直等到任务执行完毕才返回;
get(long timeout, TimeUnit unit)用来获取执行结果,如果在指定时间内,还没获取到结果,就直接返回null。
FutureTask
实现了RunnableFuture接口,而RunnableFuture接口继承了Runnable与Future接口,所以它既可以作为Runnable被线程中执行,又可以作为callable获得返回值。
适合应用场景
- 执行多任务计算
- 在高并发环境下确保任务只执行一次
小结
- 实现接口和继承 Thread 类比较
接口更适合多个相同的程序代码的线程去共享同一个资源。
接口可以避免 java 中的单继承的局限性。
接口代码可以被多个线程共享,代码和线程独立。
线程池只能放入实现 Runable 或 Callable 接口的线程,不能直接放入继承 Thread 的类。
扩充:在 java 中,每次程序运行至少启动 2 个线程。一个是 main 线程,一个是垃圾收集线程。
Runnable 和 Callable 接口比较
- 相同点:
两者都是接口;
两者都可用来编写多线程程序;
两者都需要调用 Thread.start()启动线程;
- 不同点:
实现 Callable 接口的线程能返回执行结果;而实现 Runnable 接口的线程不能返回结果;
Callable 接口的 call()方法允许抛出异常;而 Runnable 接口的 run()方法的不允许抛异常;
实现 Callable 接口的线程可以调用 Future.cancel 取消执行 ,而实现 Runnable 接口的线程不能
- 注意点:
Callable 接口支持返回执行结果,此时需要调用 FutureTask.get()方法实现,此方法会阻塞主线程直到获取‘将来’结果;当不调用此方法时,主线程不会阻塞!
实现Runnable接口,在某些情况下可以提高性能,使用继承 Thread 类方式,每次执行一次任务,都需要新建一个独立的线程,执行完任务后线程走到生命周期的尽头被销毁,如果还想执行这个任务,就必须再新建一个继承了 Thread 类的类,如果此时执行的内容比较少,比如只是在 run() 方法里简单打印一行文字,那么它所带来的开销并不大,相比于整个线程从开始创建到执行完毕被销毁,这一系列的操作比 run() 方法打印文字本身带来的开销要大得多,相当于捡了芝麻丢了西瓜,得不偿失。如果我们使用实现 Runnable 接口的方式,就可以把任务直接传入线程池,使用一些固定的线程来完成任务,不需要每次新建销毁线程,大大降低了性能开销。